| Référence | Remarque(s) et commentaires | Fichier(s) |
| 001 | Quelques heures et jour(s) après mon expulsion de Rosemère et un avis d'occupation d'un parfait salaud. | TR1 |
| 002 | Recherche d'emplois à Trois-Rivières après mon expulsion de ma résidence de Rosemère (219 Lauréanne). | TR2 |
| 003 | Ces numéros de téléphones et cartes sont la pour ceux et celles qui veulent m'aider et vérifier mes démarches (1 de 4) | TR3 |
| 004 | Ces numéros de téléphones et cartes sont la pour ceux et celles qui veulent m'aider et vérifier mes démarches (2 de 4) | TR4 |
| 005 | Ces numéros de téléphones et cartes sont la pour ceux et celles qui veulent m'aider et vérifier mes démarches (3 de 4) | TR5 |
| 006 | Ces numéros de téléphones et cartes sont la pour ceux et celles qui veulent m'aider et vérifier mes démarches (4 de 4) | TR6 |
| 007 | La seule façon de perdre cette cause est par le mensonge ou l'hypocrisie. Je n'ai aucune chance de perdre, Pierre Michaud. | TR7 |
| 008 | Document justificateur d'action(s) et d'envoi(s). | TR8 |
| 009 | Lettre de précision des circonstances ayant mené à l'absence de monsieur Michaud en cour de justice (force majeure). Un des dossiers de la Commission Scolaire des Trois-Lacs. | TR9 |
| 010 | Document preuve adressé à la Caisse Populaire Desjardins (saisi des biens et documents de Pierre Michaud ) | TR10 |
| 011 | Demande d'envoi de remplacement des documents volés suite à l'expulsion de Monsieur Michaud adressé à la Comission Scolaire des Trois-Lacs. | TR11 |
| 012 | Document preuve (adresse de correspondance) à complèter. Il nous est impossible de garantir que la banque de donné de M. Michaud n'a été modifié compte tenu des délais, entreposage, et vols de document de la banque de monsieur. | TR12 |
| 013 | Document preuve (adresse de correspondance) à complèter. Il nous est impossible de garantir que la banque de donné de M. Michaud n'a été modifié compte tenu des délais, entreposage, et vols de document de la banque de monsieur. | TR13 |
| 014 | Lettre du 18 novembre 2010 à la caisse populaire (saisi (vols) de biens de Pierre Michaud) | TR14 |
| 015 | Suggestion pour le centre d'hébergement le Havre de Trois-Rivières daté du 19 novembre 2010 | TR15 |
| 016 | Document de l'assurance emploi 1 de 2 daté du 19 novembre 2010 | TR16 |
| 017 | Document de l'assurance emploi 2 de 2 daté du 19 novembre 2010 | TR17 |
| 018 | Demande de documents du centre local d'emploi de Trois-Rivières daté du 19 novenbre 2010. Voir note de document de la référence 012. (document de 2 pages) | TR18 |
| 019 | Demande de documents du centre local d'emploi de Trois-Rivières daté du 19 novenbre 2010. Voir note de document de la référence 012 (page 2 de 2) | TR19 |
| 020 | Indormations au prestataire du centre local d'emploi de Trois-Rivières daté du 19 novenbre 2010. | TR20 |
| 021 | Page de transmission de télécopie Commission Scolaire des Trois-Lacs 22 novembre 2010 | TR21 |
| 022 | Entente non respecté de la commission scolaire daté du 11 juin 2008 | TR22 |
| 023 | Relevé d'emploi de Pierre Michaud Commision Scolaire des Trois-Lacs | TR23 |
| 024 | Lettre de demande de remplacement des documents volés par la Caisse Populaire de Rosemère | TR24 |
| 025 | Transmission de la lettre du point 24 et avis de coordonnées de communications de Pierre Michaud | TR25 |
| 026 | Duplicata de la lettre au point 24 | TR26 |
| 027 | Entente non respecté de la Commission Scolaire des Trois-Lacs | TR27 |
| 028 | Duplicata Relevé d'emploi de Pierre Michaud Commision Scolaire des Trois-Lacs | TR28 |
| 029 | Veuillez prendre note que le contenu de cette lettre n'est plus applicable pour la ville de Trois-Rivières | TR29 |
| 030 | Agenda du 24 novembre 2010 de Pierre Michaud à Trois-Rivières | TR30 |
| 031 | Lettre au palais de justice pour la cause du montant de licenciement . Note
de PMI aux détenteurs de copies de sauvegarde, serait-il
possible de vérifier la correspondance exacte de ma banque de
donnée et vos copies de sauvegarde en ordre et en contenu. Nous
croyons qu'il y eu manipulation d'informations. Pour le numéro du CD d'origine cliquez ici. Pierre Michaud, (PMI) ce 23 octobre 2016. |
TR31 |
| 032 | Informations du compte de Pierre Michaud Banque National de Rosemère | TR32 |
| 033 | Agenda de Pierre Michaud à Trois-Rivières | TR33 |
| 034 | Agenda du 25 novembre 2010 de Pierre Michaud à Trois-Rivières | TR34 |
| 035 | Agenda de Pierre Michaud à Trois-Rivières | TR35 |
| 036 | Agenda de Pierre Michaud à Trois-Rivières | TR36 |
| 037 | Demande de document à la Commission Scolaire des Trois-Lacs | TR37 |
| 038 | Duplicata Relevé d'emploi de Pierre Michaud Commision Scolaire des Trois-Lacs | TR38 |
| 039 | Duplicata. Entente non respecté de la commission scolaire daté du 11 juin 2008 | TR39 |
| 040 | Enveloppe de réception de document de la Commission Scolaire de Trois-Lacs datée du 26 novenbre 2010 | TR40 |
| 041 | Agenda de Pierre Michaud à Trois-Rivières du 27 et 29 novembre 2010 | TR41 |
| 042 | Transmissions et avis de délais des documents demandés par l'aide social de Trois Rivières. Document preuve de mise en accusation de la Caisse Populaire. | TR42 |
| 043 | Duplicata. Entente non respecté de la commission scolaire daté du 11 juin 2008 | TR43 |
| 044 | Duplicata Relevé d'emploi de Pierre Michaud Commision Scolaire des Trois-Lacs | TR44 |
| 045 | Duplicata. Demande de document à la Commission Scolaire des Trois-Lacs | TR45 |
| 046 | Informations pour dépot direct au de Pierre Michaud. Voir note du point no. 31 | TR46 |
| 047 | Informations sur Pierre Michaud. Ces cartes ont été volés à Trois-Rivières avec environ deux (2)cents dollards dans mon porte feuille. Un avis à été émis à la Banque National de Trois-Rivières. | TR47 |
| 048 | Lettre de correction d'informations de l'aide social de Trois-Rivières émis par Pierre Michaud le 29 novembre 2010. | TR48 |
| 049 | Document de l'aide social en référence du point no. 48 | TR49 |
| 050 | Agenda de Pierre Michaud à Trois-Rivières du 28 novembre 2010 page 1 | TR50 |
| FIN DE LA SÉRIE (1) ET DÉBUT DE LA SÉRIE (2) (Note de PMI: Il est normal d'avoir certains documents en duplicatas il s'agit de la banque de donnée originale) test |
||
| 051 | Agenda de Pierre Michaud à Trois-Rivières du 28 novembre 2010 page 2 | TR51 |
| 052 | Agenda de Pierre Michaud à Trois-Rivières du 30 novembre 2010 | TR52 |
| 053 | Agenda de Pierre Michaud à Trois-Rivières du 01 décembre 2010 page 1 | TR53 |
| 054 | Agenda de Pierre Michaud à Trois-Rivières du 01 décembre 2010 page 2 | TR54 |
| 055 | Lettre d'avocat du 29 novembre 2010 page 1 | TR55 |
| 056 | Lettre d'avocat du 29 novembre 2010 page 2 | TR56 |
| 057 | Agenda de Pierre Michaud à Trois-Rivières du 01 décembre 2010 | TR57 |
| 058 | Agenda de Pierre Michaud à Trois-Rivières du 01 décembre 2010 | TR58 |
| 059 | Réponse a la lettre d'avocat SBPM03201012101CN page 1 | TR59 |
| 060 | Réponse a la lettre d'avocat SBPM03201012101CN page 2 | TR60 |
| 061 | Lettre d'avocat du 29 novembre 2010 page 1 (duplicata) | TR61 |
| 062 | Lettre d'avocat du 29 novembre 2010 page 2 (duplicata) | TR62 |
| 063 | Offre d'emploi a UPA le 2 décembre 2010 | TR63 |
| 064 | Lettre de demande a la Caisse Poppulaire pour récupérer les papiers de Monsieur Michaud le 2 décembre 2010 | TR64 |
| 065 | Demande de document di CLE de Trois-Rivières le 19 novembre 2010 | TR65 |
| 066 | Fin de lettre orphelin de Pierre Michaud | TR66 |
| 067 | Résumé des actions du 02 décembre 2010 1 de 2 | TR67 |
| 068 | Résumé des actions du 02 décembre 2010 2 de 2 | TR68 |
| 069 | Lettre de demande d'aide juridique au 1350 Royale Trois-Rivières le 2 décembre 2010 1 de 2 | TR69 |
| 070 | Lettre de demande d'aide juridique au 1350 Royale Trois-Rivières le 2 décembre 2010 2 de 2 | TR70 |
| 071 | Lettre avis de poursuite contre la caisse polulaire de Rosemère le 15 novembre 2010 (duplicata possible) | TR71 |
| 072 | Lettre de demande de 6 documents a la caisse populaire pour le CLE de Trois-Rivières le 18 novembre 2010 | TR72 |
| 073 | Lettre de réponse a la lettre daté du 29 novembre 2010 de la caisse populaire le 01 décembre 2010 1 de 2 (saisie des biens) | TR73 |
| 074 | Lettre de réponse a la lettre daté du 29 novembre 2010 de la caisse populaire le 01 décembre 2010 2 de 2 (saisie des biens) | TR74 |
| 075 | Lettre d'avocats en réponse a ma lettre du 18 novembre 2010 niant toutes responsabilités et mentionnant que le dossier est clos le 20 novembre 2010 1 de 2 | TR75 |
| 076 | Lettre d'avocats en réponse a ma lettre du 18 novembre 2010 niant toutes responsabilités et mentionnant que le dossier est clos le 20 novembre 2010 2 de 2 | TR76 |
| 077 | Lettre de demande a la caisse une autre pour obtenir les documents de Pierre Michaud du 219 Lauréanne Rosemère (duplicata) | TR77 |
| 078 | Duplicata voir point numéro 65 | TR78 |
| 079 | Actions du 03 décembre 2010 | TR79 |
| 080 | Lettre au Palais de justice de Valleyfield pour fraude de la Commission Scolaire des Trois-Lacs le 03 décembre 2010 | TR80 |
| 081 | Document de CLE de Trois-Rivières pour obtenir les documents volés par la Caisse populaire adressé a Pierre Michaud le 03 décembre 2010 1 de 2 | TR81 |
| 082 | Document de CLE de Trois-Rivières pour obtenir les documents volés par la Caisse populaire adressé a Pierre Michaud le 03 décembre 2010 2 de 2 | TR82 |
| 083 | Lettre d'AVIS au CLE de Trois-Rivières d'intentions de poursuite contre la Caisse Populaire daté du 03 décembre 2010 | TR83 |
| 084 | Confirmation de la demande d'assurance chomage de Pierre Michaud auprès de Services Canada le 19 novembre 2010 | TR84 |
| 085 | Lettre qui avise et demande a l'hôtel de Ville de Trois-Rivières de sécuriser un endroit dangereux pour les piétons 1 de 2 | TR85 |
| 086 | Lettre qui avise et demande a l'hôtel de Ville de Trois-Rivières de sécuriser un endroit dangereux pour les piétons 2 de 2 | TR86 |
| 087 | Lettre qui avise la corruption de deux policiers, et demande a l'hôtel de Ville de Trois-Rivières pour de l'aide dans le dossier de enfants de Pierre Michaud 1 de 3 | TR87 |
| 088 | Lettre qui avise la corruption de deux policiers, et demande a l'hôtel de Ville de Trois-Rivières pour de l'aide dans le dossier de enfants de Pierre Michaud 2 de 3 | TR88 |
| 089 | Lettre qui avise la corruption de deux policiers, et demande a l'hôtel de Ville de Trois-Rivières pour de l'aide dans le dossier de enfants de Pierre Michaud 3 de 3 | TR89 |
| 090 | Emploi du temps de Pierre Michaud du 06 décembre 2010 1 de 2 | TR90 |
| 091 | Emploi du temps de Pierre Michaud du 06 décembre 2010 2 de 2 | TR91 |
| 092 | Je n'ai fait aucune demande d'envoi de document au CLE mes demandes était de recevoir les documents pour les transmettrent point final. | TR92 |
| 093 | Document d'expulsion (aucun motif valable ???) 1 de 3 je ne me souviens pas avoir eu ce document et pourquoi une transmission directe a M. Gervais ??? | TR93 |
| 094 | Document d'expulsion (aucun motif valable ???) 2 de 3 je ne me souviens pas avoir eu ce document et pourquoi une transmission directe a M. Gervais ??? | TR94 |
| 095 | Document d'expulsion (aucun motif valable ???) 3 de 3 je ne me souviens pas avoir eu ce document et pourquoi une transmission directe a M. Gervais ??? | TR95 |
| 096 | Système de maintient de visière pour le hockey | TR96 |
| 097 | Action du 08 décembre 2010 incluant un téléphone a l'aide juridique expliquant le mot AIDE dans l'espression aide juridique. | TR97 |
| 098 | Je ne me souviens pas avoir vu cette lettre. Sur la rue Brébeuf a plus d'une reprise des pages étaient manquantes dans ma réception de document) | TR98 |
| 099 | (Cette avocate s'est retiré aussitôt que j'ai demandé d'être au courant des actions posés pour mon dossier) | TR99 |
| 100 | Autorisation pour l'aide juridique de Trois-Rivières (Autorisation oui mais cela implique que je sois en copie conforme ???) | TR100 |
| FIN DE LA SÉRIE (2) ET DÉBUT DE LA SÉRIE (3) (Note de PMI: Il est normal d'avoir certains documents en duplicatas il s'agit de la banque de donnée originale) |
||
| 101 | AVIS DE COMMUNICATIONS de Pierre Michaud | TR101 |
| 102 | Mémo lettre de corrections de textes de Pierre Michaud pour l'aide juridique | TR102 |
| 103 | Lettre d'avocate de l'aide juridique de Trois-Rivières pour obtenir mes documents personnel le 07 décembre 2010 | TR103 |
| 104 | Mémo de Pierre Michaud expliquant la priorité des dossier de Pierre Michaud le 09 décembre 2010 1 de 2 | TR104 |
| 105 | Mémo de Pierre Michaud expliquant la priorité des dossier de Pierre Michaud le 09 décembre 2010 2 de 2 | TR105 |
| 106 | Mémo numéro deux (2) informations pour dépot directe au compte | TR106 |
| 107 | Actions du 09 décembre 2010 | TR107 |
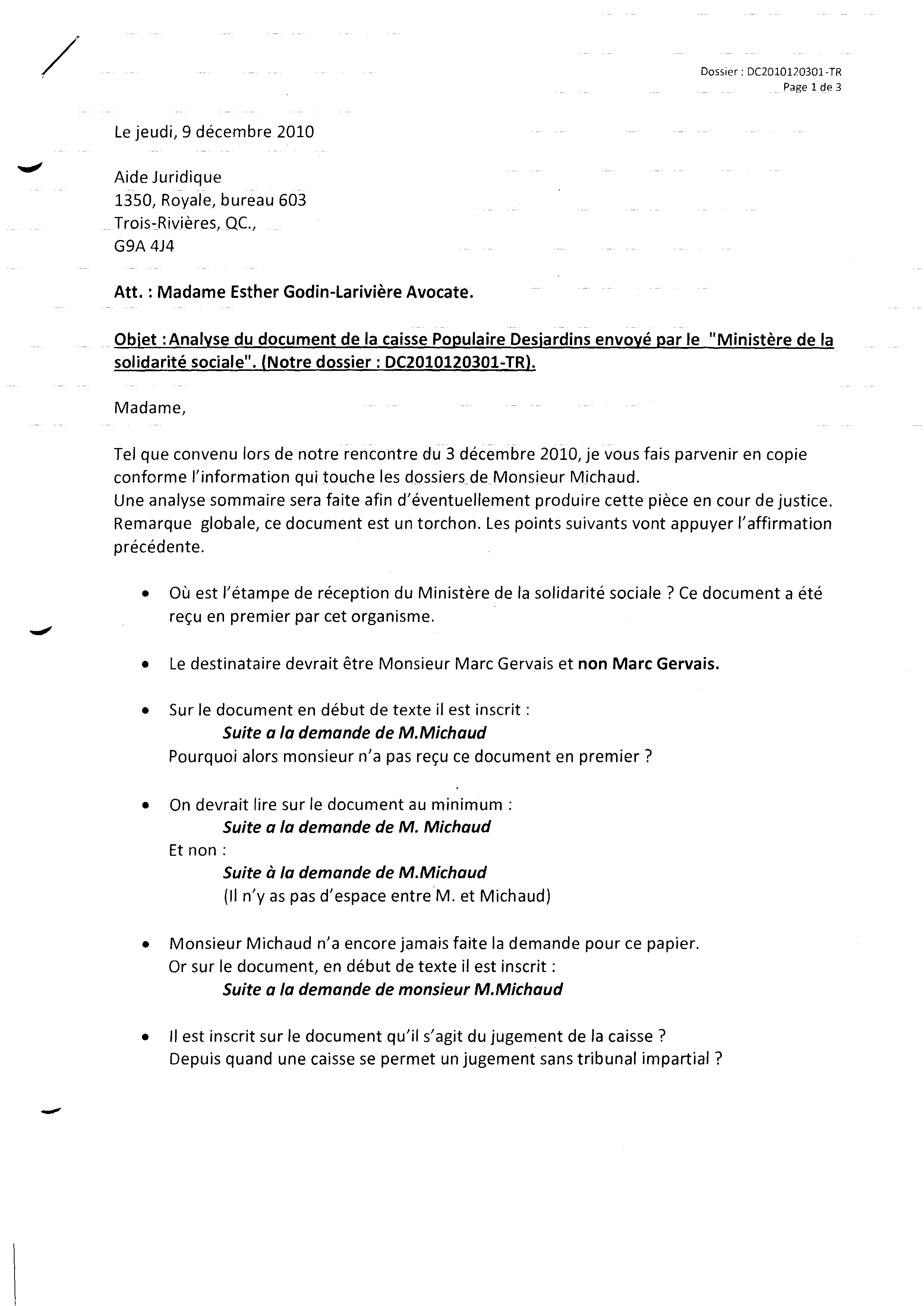
| 108 | Analyse du document de la caisse populaire d'expulsion (un torchon) 1 de 3 ce 09 décembre 2010 | TR108 |
| 109 | Analyse du document de la caisse populaire d'expulsion (un torchon) 2 de 3 ce 09 décembre 2010 | TR109 |
| 110 | Analyse du document de la caisse populaire d'expulsion (un torchon) 3 de 3 ce 09 décembre 2010 | TR110 |
| 111 | Page de transmission de la Caisse populaire (envoi par télécopieur) LE JUGEMENT ce 09 décembre 2010 | TR111 |
| 112 | Cour supérieur LE JUGEMENT (le torchon) 1 de 3 ce 09 décembre 2010 | TR112 |
| 113 | Cour supérieur LE JUGEMENT (le torchon) 2 de 3 ce 09 décembre 2010 | TR113 |
| 114 | Cour supérieur LE JUGEMENT (le torchon) 3 de 3 ce 09 décembre 2010 | TR114 |
| 115 | Actions de Pierre Michaud du 10 décembre 2010 | TR115 |
| 116 | Lettre de l'avocate voulant se retirer du dossier de monsieur Pierre Michaud daté du 10 décembre 2010 | TR116 |
| 117 | Lettre de l'assurance chomage indiquant une erreur sur la demande (correction possible Mère adoptive: Berthe Dionne / Mère de naissance Alice Plante) | TR117 |
| 118 | Informations pour l'aide juridique et avis de plainte contre M. Marc Gervais du CLE de Trois-Rivières le 10 décembre 2010 1 de 5 | TR118 |
| 119 | Informations pour l'aide juridique et avis de plainte contre M. Marc Gervais du CLE de Trois-Rivières le 10 décembre 2010 2 de 5 | TR119 |
| 120 | Informations pour l'aide juridique et avis de plainte contre M. Marc Gervais du CLE de Trois-Rivières le 10 décembre 2010 3 de 5 | TR120 |
| 121 | Informations pour l'aide juridique et avis de plainte contre M. Marc Gervais du CLE de Trois-Rivières le 10 décembre 2010 4 de 5 | TR121 |
| 122 | Informations pour l'aide juridique et avis de plainte contre M. Marc Gervais du CLE de Trois-Rivières le 10 décembre 2010 5 de 5 | TR122 |
| 123 | Jugement des petites créances suite a ma demande de poursuite (la première) contre la commission Scolaire des Trois-Lacs le 16-11-2010 1 de 4 | TR123 |
| 124 | Jugement des petites créances suite a ma demande de poursuite (la première) contre la commission Scolaire des Trois-Lacs le 16-11-2010 2 de 4 | TR124 |
| 125 | Jugement des petites créances suite a ma demande de poursuite (la première) contre la commission Scolaire des Trois-Lacs le 16-11-2010 3 de 4 | TR125 |
| 126 | Jugement des petites créances suite a ma demande de poursuite (la première) contre la commission Scolaire des Trois-Lacs le 16-11-2010 4 de 4 | TR126 |
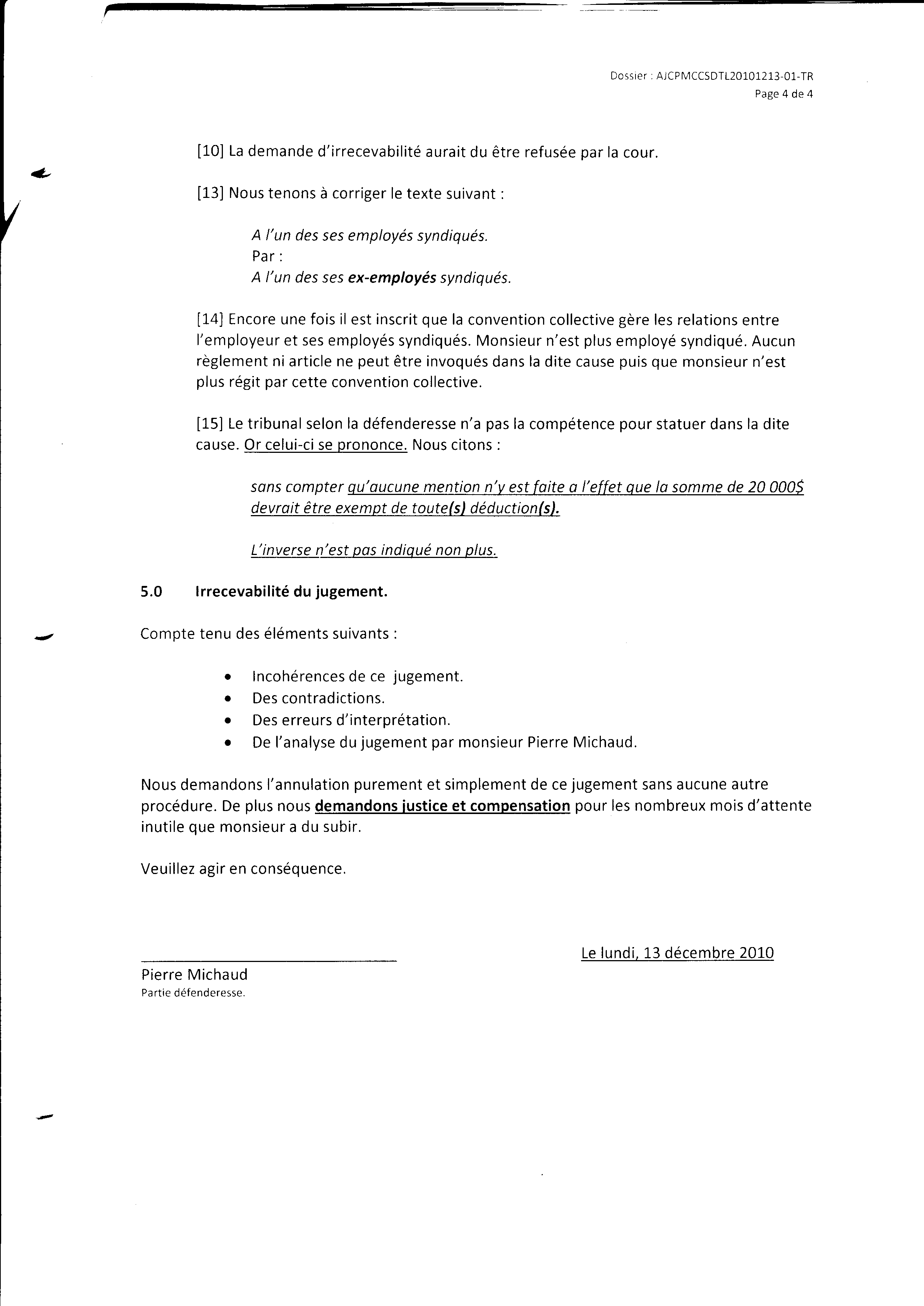
| 127 | Analyse de cet autre torchon par Pierre Michaud le 13 décembre 2010 page 1 de 4 (une sanction d'emprisonnement doit être envisagé contre ces gens) | TR127 |
| 128 | Analyse de cet autre torchon par Pierre Michaud le 13 décembre 2010 page 2 de 4 (une sanction d'emprisonnement doit être envisagé contre ces gens) | TR128 |
| 130 | Analyse de cet autre torchon par Pierre Michaud le 13 décembre 2010 page 3 de 4 (une sanction d'emprisonnement doit être envisagé contre ces gens) | TR129 |
| 131 | Analyse de cet autre torchon par Pierre Michaud le 13 décembre 2010 page 4 de 4 (une sanction d'emprisonnement doit être envisagé contre ces gens) | TR130 |
| 132 | Document du CLE de Trois-Rivières qui demande d'identifier toutes formes d'avoir d'une personne daté du 10 des 2010 1 de 2 (dans quel bût ?) | TR131 |
| 133 | Document du CLE de Trois-Rivières qui demande d'identifier toutes formes d'avoir d'une personne daté du 10 des 2010 2 de 2 (dans quel bût ?) | TR132 |
| 134 | Document avec des adresses fournies par le HAVRE de Trois-Rivières¸(1486 Brébeuf) ou j'ai été agressé physiquement (575 Laviolette Trois-Rivières) | TR133 |
| 135 | Liste d'adresse et coordonnées de Pierre Michaud pour des démarches 1 de 6 | TR134 |
| 136 | Liste d'adresse et coordonnées de Pierre Michaud pour des démarches 2 de 6 | TR135 |
| 137 | Liste d'adresse et coordonnées de Pierre Michaud pour des démarches 3de 6 | TR136 |
| 138 | Liste d'adresse et coordonnées de Pierre Michaud pour des démarches 4 de 6 | TR137 |
| 138 | Liste d'adresse et coordonnées de Pierre Michaud pour des démarches 5 de 6 | TR138 |
| 140 | Liste d'adresse et coordonnées de Pierre Michaud pour des démarches 6 de 6 | TR139 |
| 141 | Agenda du 13 décembre 2010 a Trois-Rivières | TR140 |
| 142 | Offre de service a Hydro Québec (ODSPMHQ0120101213MEM) le 13 décembre 2010 | TR141 |
| 143 | Organigrame de classement d'informations (rédaction de ce document au 1486 Brébeuf) | TR142 |
| 144 | Lettre (RDPM0120101211CN) a l'aide juridique de Trois-Rivières concernant le refus de l'aide juridique de s'occuper de mon dossier le 13 décembre 2010 | TR143 |
| 145 | Lettre (PBAJ012010121401CN) de plainte au Barreau adressé au 445 Boul St-Laurent à Montréal le 14 décembre 2010 | TR144 |
| 146 | ||
| 147 | ||
| 148 | ||
| 149 | ||
| 150 | ||
| FIN DE LA SÉRIE (3) ET DÉBUT DE LA SÉRIE (4) (Note de PMI: Il est normal d'avoir certains documents en duplicatas il s'agit de la banque de donnée originale) |
||
| 151 | ||