⌂
wsnomade.com
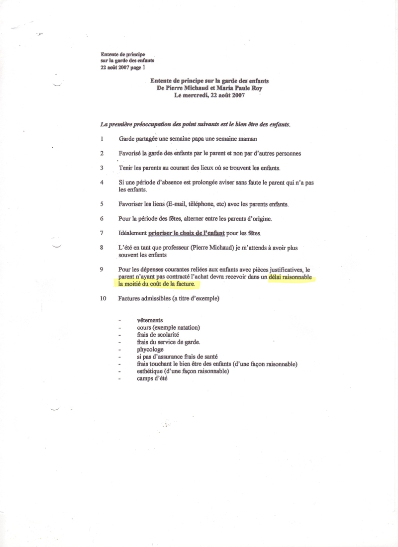
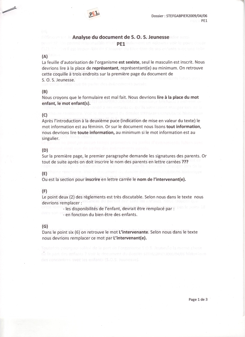
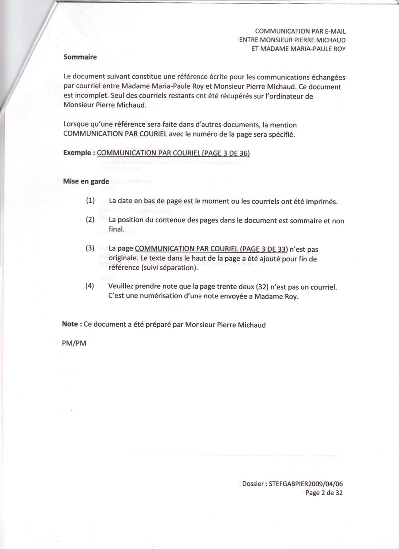
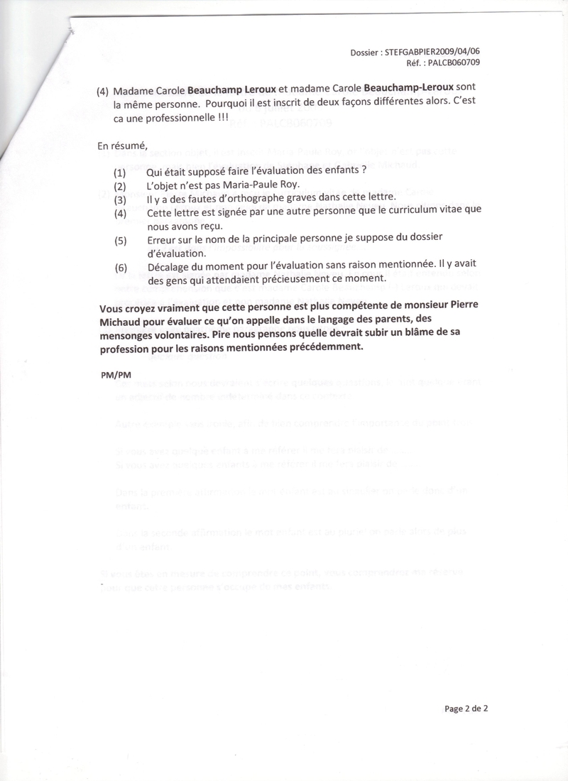
Documents de cour pour la garde de Gabrielle et Stéphane Michaud qui n'ont jamais pu être présenté en cour de justice
et accusations au criminel contre le gouvernement du Québec (
mise en service 24-08-2018
) Ratio des images 800 x 1100
Document-A
Document-B
Document-C
Document-1
Document-2
Responsive Image Slider jQuery